Самарский охотник


Вернуться   Форум «Самарского Охотника» > Охотничье оружие > Боеприпасы

Ответ
 
Опции темы
Старый 08.03.2016, 23:37   #2551
Охотник
 
Аватар для ФС63
 
Регистрация: 25.08.2014
Адрес: г. Самара
Сообщений: 1,689
По умолчанию

Цитата:
Сообщение от ФС63
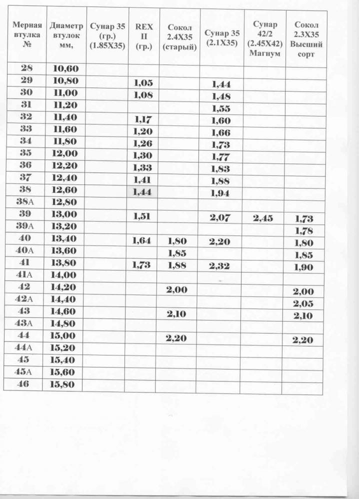
Существует таблица, зависимости внутреннего диаметра, от веса, так как высота бушингов стандартна- Дюйм(25,4мм)
stress,
Вот таблицы по бушингам. Осмысливайте.))
Миниатюры
Нажмите на изображение для увеличения
Название: 5.jpg
Просмотров: 860
Размер:	90.8 Кб
ID:	24527   Нажмите на изображение для увеличения
Название: 6.jpg
Просмотров: 899
Размер:	104.1 Кб
ID:	24528  
ФС63 вне форума   Ответить с цитированием
Старый 09.03.2016, 00:32   #2552
Охотник
 
Аватар для Bar
 
Регистрация: 08.02.2016
Адрес: Samara
Сообщений: 113
По умолчанию

stress,
ФС63,
stress,
DK,
Блин, ребят... Я конечно вам очень благодарен, вы все как в инете говорите... Кстати, фото с навесками - бомба... НО... Я вот все что вы написали уже в инете нашел, а вот элементарно наткнулся на то что пыж нужно правильным концом ставить - и обалдел... расскажите с ноля пжлст... Не хочу контейнер, хочу пыжи...
Bar вне форума   Ответить с цитированием
Старый 09.03.2016, 01:18   #2553
Охотник
 
Аватар для ivan888
 
Регистрация: 20.02.2011
Адрес: Самара
Сообщений: 548
Отправить сообщение для ivan888 с помощью Skype™
По умолчанию

Bar,
Я вас прекрасно понимаю сам стал ни так довно обладателем такого станка ЛЕЕ ! Мой совет покажеться новерно самым простым сточки срения потраченного времени . Для начала посмотрите видео на ЮТУБе там их море , начните с Ярика Андерсана и Жени Толстов Хантер он тоже хорош расказывает азы . Ну а потом только собственные опыты и перекуривания всех возможных тем на нашем форуме и на Ганзе ! Хотя Ганзу сам ни очень люблюно там очень много есть инф. по скоростям и навескам порохов !!! Удачи !!! Если что найдете интересного то и тут отпишитесь !!!
ivan888 вне форума   Ответить с цитированием
Старый 11.03.2016, 17:35   #2554
Охотник
 
Аватар для stress
 
Регистрация: 26.02.2012
Адрес: Самара
Охотобщество: Динамо
Сообщений: 2,455
По умолчанию

Цитата:
Сообщение от ФС63
Вот таблицы
Спасибо, сохраню! Я просто думаю приобретать станок или нет... ну не нужно мне столько патронов, зато какое удовольствие при зарядке. Я все по старинке навойником и на весах, но хочется на прессе.
stress вне форума   Ответить с цитированием
Старый 11.03.2016, 17:58   #2555
Охотник
 
Аватар для ФС63
 
Регистрация: 25.08.2014
Адрес: г. Самара
Сообщений: 1,689
По умолчанию

Цитата:
Сообщение от stress
ну не нужно мне столько патронов,
Так ни кто Вас и не заставляет снаряжать большое колличество.))
Цитата:
Сообщение от stress
зато какое удовольствие при зарядке.
Это точно подмечено... Появилась необходимость прибавить, или убавить, порох на 2-3-и сотки гр, перекинул бушинг на шаг, и в перед...))
Цитата:
Сообщение от stress
Я все по старинке навойником и на весах, но хочется на прессе.
Тестовые и пулевые, также, только с навойником и на весах.
ФС63 вне форума   Ответить с цитированием
Старый 11.03.2016, 18:14   #2556
Охотник
 
Аватар для stress
 
Регистрация: 26.02.2012
Адрес: Самара
Охотобщество: Динамо
Сообщений: 2,455
По умолчанию

Цитата:
Сообщение от ФС63
Тестовые и пулевые,
Я еще и латунь снаряжаю, именно на осень, когда и уходит больше всего патронов, а ее только ручками, зато выстрел дешевый и стабильный. А например за зиму я 21 патрон сжег, вместе с пулевыми.
stress вне форума   Ответить с цитированием
Старый 11.03.2016, 18:19   #2557
Охотник
 
Аватар для DK
 
Регистрация: 01.10.2009
Адрес: РФ
Сообщений: 6,254
По умолчанию

я так чувствую надо запилить ролики про снаряжение для чайников?
закрутика, УПС, Lee, прогрессивные прессы
DK вне форума   Ответить с цитированием
Старый 11.03.2016, 18:38   #2558
Охотник
 
Аватар для ФС63
 
Регистрация: 25.08.2014
Адрес: г. Самара
Сообщений: 1,689
По умолчанию

Цитата:
Сообщение от DK
закрутика, УПС, Lee, прогрессивные прессы
А что, думаю будет не плохо.))
ФС63 вне форума   Ответить с цитированием
Старый 11.03.2016, 18:40   #2559
Охотник
 
Аватар для ФС63
 
Регистрация: 25.08.2014
Адрес: г. Самара
Сообщений: 1,689
По умолчанию

Цитата:
Сообщение от stress
Я еще и латунь снаряжаю
))... Лет двадцать, уже как не снаряжаю. Все осталось в прошлом.))
ФС63 вне форума   Ответить с цитированием
Старый 11.03.2016, 18:51   #2560
Охотник
 
Аватар для stress
 
Регистрация: 26.02.2012
Адрес: Самара
Охотобщество: Динамо
Сообщений: 2,455
По умолчанию

Цитата:
Сообщение от ФС63
Все осталось в прошлом.))
Ну не знай, курковка, бурский патронташ на 24 открытый, осенняя классика. Если б хотелось чистить ружье по часу, я б на дымном собирал. ИМХО.
stress вне форума   Ответить с цитированием
Ответ


Здесь присутствуют: 23 (пользователей: 0 , гостей: 23)
 

Ваши права в разделе
Вы не можете создавать новые темы
Вы не можете отвечать в темах
Вы не можете прикреплять вложения
Вы не можете редактировать свои сообщения

BB коды Вкл.
Смайлы Вкл.
[IMG] код Вкл.
HTML код Выкл.

Быстрый переход


Текущее время: 22:32. Часовой пояс GMT +4.


Powеrеd by vВullеtin® Version 3.8.4
Copyright ©2000 - 2026, Jеlsоft Entеrprises Ltd. Перевод zCarot